近日,英国皇家科学院和欧洲科学院院士、化学与分子工程学院教授李大为(David Leigh)团队第一次通过实验证明了分子结的紧致程度对物质理化性质的重大影响并首次实现了复杂拓扑结构的后修饰合成。相关成果以beat365英国官网网站为第一单位在《美国国家科学院院刊》(Effects of Knot Tightness at the Molecular Level, PNAS, 2019, 116, 2452-2457)和《美国化学会志》(Coordination Chemistry of a Molecular Pentafoil Knot, JACS, 2019, 141, 3952–3958 )上发表。
扭结(Knot)是拓扑学当中的一类图形,指三维空间中不与自身相交的封闭曲线,通俗一点说就是无法被解开的圆环。在分子层面,天然的分子结(Molecular knot)存在于DNA、蛋白质和一些长链的高分子当中,这些三维结构能够影响一些物理化学性质,并影响着一些生物大分子的功能表达。探究这些复杂的三维结构对分子理化性质的影响是超分子领域的研究热点之一。同时,如何通过组装方式获得不同的金属分子结也是该领域的研究难点之一。李大为教授团队近期的研究成功解决了上述问题,是分子拓扑学领域取得的重要成果。
一、在分子层面探究分子结紧致程度对分子骨架理化性质的影响
目前,对扭结这一拓扑结构如何影响分子自身理化性质的研究主要停留在模拟计算层面,实验报道较少。如同宏观世界中,打结的松紧对于外在功能的影响一样,在分子层面,分子结的紧致程度可能对其性质及应用有至关重要的作用。为了揭示这一现象的本质以及提供有效调节分子结松紧从而拓展其结构的应用价值,李大为院士课题组在过去分子819扭结(Leigh, D. A. et al. Science 2017, 355, 159-162.)合成的基础上,通过调节配体链中柔性脂肪链的长度,合成了一系列单分散性分子结,其骨架分别含有192个(1),216个(2)以及240个原子(3)(monodispersed synthetic molecular knots),如图1所示。其中,1和3分别为最紧和最松的结。

图一:分子结1-3的合成
通过一系列实验手段,作者证实了分子结松紧程度在分子层面对于骨架物理化学性质有显著的影响。碰撞诱导解离串联质谱(CID-MS-MS)实验表明,分子结的松紧程度决定了分子的共价键断裂难易程度,更紧的分子结其共价键的断裂更容易一些,作者推测可能由于更紧分子结中的共价键的扭曲程度更大一些。基于819分子结本质为手性分子,作者利用手性高效液相色谱分离了它们的对映异构体并用圆二色谱法(CD)进行了表征。结果表明,每对对映异构体给出强度相同符号相反的CD信号。由1到3,由于分子结的结构逐渐变松,其中发色基团的共轭程度的改变和分子构象的增多导致了显著的红移现象且使信号变弱,如图2所示。作者还利用分子动态模拟(Molecular-dynamics simulation)对实验结果进行了验证,相关结果进一步证实了作者提出的理论构想。

图二:分子结1-3中每对对映异构体的CD图谱
这项工作第一次对于理解分子结的松紧如何影响分子的物理化学性质提供了实验证明,对未来设计和发展结状和互缠绕的纳米材料有着非常重要的意义,这项工作被意大利媒体Galileo进行了亮点报道。
二、通过研究五叶结的配位化学实现了复杂拓扑结构的后修饰合成
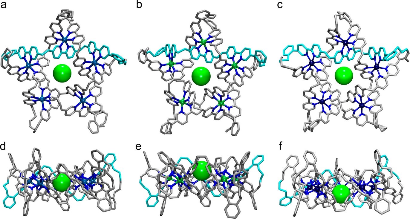
金属配位法广泛应用于分子结的组装。李大为院士课题组通过金属置换的策略,将不能作为构筑分子结模板的配位金属离子CoII,NiII和CuII分别与已被分子结结合的ZnII进行置换,从而获得了含有CoII,NiII或CuII的五叶结,如图3所示。

图三:金属置换法构筑五叶结
这项工作首先研究了不同锌盐与分子结配位的能力,发现ZnCl2可以定量形成相应的金属分子结。与之相反,第一过渡系中的其他金属(FeII,CoII,NiII和CuII)则不能配位分子结形成相应的金属化的分子结。作者随后设想,是否可以将含Zn的五叶结中不稳定的锌离子与过量的稳定强度更高的其他金属离子置换,从而分步制备具有不同金属离子的分子结。这样既保证了新分子结中各原子的相对空间位置稳定,又减少了配体链重排所需的额外能量。随后,作者发现过量的FeII(BF4)2可以完全置换出五叶结中的ZnII并用电喷雾离子化质谱(ESI-MS)和氢谱(1H NMR)进行了表征和监控。除此之外,CoII,NiII和CuII也显示出相似结果。单晶结构显示含有CoII,NiII和ZnII的分子结具有大致相似构象,如图4所示。作者还采用等温滴定量热法研究了配位不同金属离子的分子结对Cl-的结合能力。实验结果表明,配位不同金属离子的分子结对Cl-表现了横跨三个数量级的结合能力(8´104 M-1到3.3´107 M-1)。从而通过配位不同的金属离子,实现了分子结对Cl-结合能力的调控。

图四:[Co51·Cl](BF4)9, [Ni51·Cl](BF4)9, and [Zn51·Cl](BF4)9单晶结构
这项工作为通过自组装方式获得不同配位金属离子的分子结提供了新思路,并为进一步探究其功能化奠定了基础。
原文链接:
https://www.pnas.org/content/116/7/2452.abstract
https://pubs.acs.org.ccindex.cn/doi/10.1021/jacs.8b12548
图文、来源|化学与分子工程学院 编辑|谢瑶姬 编审|郭文君