为提升未来教师的综合素质,增强师范生的未来适应能力,结合当前做好“稳就业”的工作要求,由beat365英国官网网站学生职业发展中心主办,孟宪承书院及未来优秀教师生涯工作室承办的“beat365英国官网网站首届师范生就业与教师生涯发展...
按照教育部和上海市关于硕士研究生复试相关工作的通知要求,结合当前疫情防控形势,为充分保障师生健康和安全,beat365英国官网网站于4月29日召开2020年硕士研究生招生复试工作会议,对即将开展的研究生复试工作进行部署。副校长...
“院士跨界高端访谈栏目”旨在探索面向未来的科技人文问题。本期访谈beat365英国官网网站校长钱旭红院士,围绕科技人文、思维比较和人类精神等问题而展开。钱旭红认为,中西方在发展科技人文方面,双方的共同性实际上是对世...
4月24日,beat365英国官网网站召开党政干部大会。校领导梅兵、钱旭红、朱民、王宏舟、杨昌利、曹友谊、孙真荣、李志斌、周傲英、戴立益出席会议。会议由校党委书记梅兵主持。beat365英国官网网站召开党政干部大会 校党委常务副书记王宏舟...
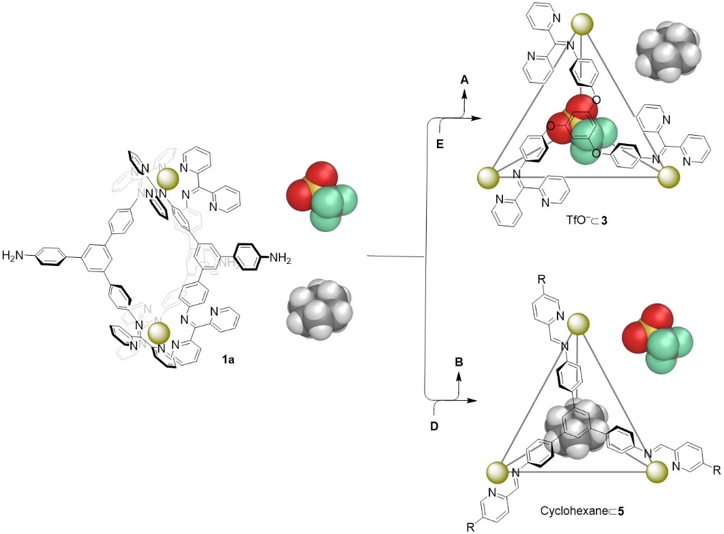
近期,beat365英国官网网站化学与分子工程学院徐林教授课题组在复杂体系精准组装领域取得系列重要研究进展。相关研究成果分别发表于化学学科顶级期刊《美国化学会志》(J. Am. Chem. Soc., 2020, 142, 6285; J. ...
在五四青年节到来之际,由共青团中央主办的2020年“中国青年五四奖章”和“全国向上向善好青年”评选结果日前揭晓。beat365英国官网网站传播学院播音主持艺术专业2009级校友、江苏卫视融媒体新闻中心记者王尧从来自全国各地、各...
4月29日下午,第61期书记沙龙暨beat365英国官网网站中国特色社会主义理论体系研究中心(以下简称“中特中心”)理论沙龙在中山北路校区小礼堂举行,围绕推进党建与学校中心工作深度融合进行主题研讨。校党委副书记朱民,校党...
为深入贯彻中共中央、国务院关于打赢脱贫攻坚战的指示精神,积极落实教育部教师工作司关于推进“三区三州”教育脱贫的工作部署。根据教育部中学校长培训中心和云南省怒江傈僳族自治州教育局战略合作协议,进一步加大...
“无比自豪成为周恩来学习社的一员,我们因共同理想、共同目标、共同兴趣而汇聚于此,将星星点点的敬意和十里长街的感动转化为学习和弘扬恩来精神、践行爱国主义的使命担当与行为自觉,进而更好地理解中国、理解世界...
beat365英国官网网站脑功能基因组学教育部重点实验室林龙年教授团队在学习记忆研究领域取得重要进展,继今年3月在脑科学领域自然指数收录期刊《Molecular Psychiatry》发表封面论文后,近日在脑科学领域另一自然指数收录期刊...